Dawn Of Oberon
by Tusmørke
Tusmørke bestography
Dawn Of Oberon is ranked 3rd best out of 10 albums by Tusmørke on BestEverAlbums.com.
The best album by Tusmørke is Ført Bak Lyset which is ranked number 32785 in the list of all-time albums with a total rank score of 25.
(N.B. Bestographies include all albums by an artist (and their variations), but do not include albums ranked outside the top 100,000).
Upcoming concerts
Apr
16
Thu

Floetry Presents Say Yes The Tour Feat. Raheem Devaughn
Stifel Theatre, Saint Louis, United States. 

Tickets from Ticketmaster Get tickets
Apr
15
Wed

Emo Orchestra With The Spill Canvas - An Evening Of Emo
Palladium Times Square , New York City, United States. 

Tickets from Ticketmaster Get tickets
Apr
14
Tue

Bloodywood: System Of A Brown Tour 2026
The Depot, Salt Lake City, United States. 

Tickets from Ticketmaster Get tickets
Listen to Dawn Of Oberon on YouTube
Loading content from YouTube...
Dawn Of Oberon track list
The tracks on this album have an average rating of 75 out of 100 (5 out of 6 tracks have been rated).
Dawn Of Oberon rankings
Rankings summary
Overall rank: 68,378th | 2020s rank: 8,346th | 2024 rank: 1,122nd| Year | Source | Chart | Rank | Rank Score |
|---|---|---|---|---|
| 2026 | Top 100 Music Albums of 2024 | 54/100 | 2 | |
| 2025 | Steppenwolf666 | Top 47 Music Albums of 2024 | 8/47 | 4 |
| 2025 | Top 100 Music Albums of 2024 | 100/100 | 0 | |
| Total Charts: The total number of charts that this album has appeared in. | 3 | |||
| Total Rank Score: The total rank score. | 7 | |||
You can include this album in your own chart from the My Charts page!
Dawn Of Oberon collection
Dawn Of Oberon ratings
Average Rating = (n ÷ (n + m)) × av + (m ÷ (n + m)) × AVwhere:
av = trimmed mean average rating an item has currently received.
n = number of ratings an item has currently received.
m = minimum number of ratings required for an item to appear in a 'top-rated' chart (currently 10).
AV = the site mean average rating.
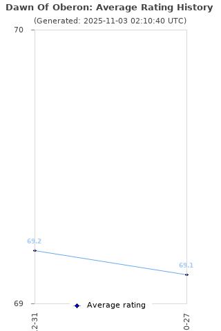
N.B. The average rating for this album will not be reliable as it has been rated very few times.
Showing all 3 ratings for this album.
| Rating | Date updated | Member | Album ratings | Avg. album rating |
|---|---|---|---|---|
| 10/27/2024 14:52 | 11,889 | 66/100 | ||
| 10/16/2024 20:17 | 8,271 | 67/100 | ||
| 09/17/2024 15:04 | chris75last | 6,298 | 63/100 |
Dawn Of Oberon comments
Be the first to add a comment for this album - add your comment!
Your feedback for Dawn Of Oberon
Let us know what you think of this album by adding a comment or assigning a rating below!
If you enjoy our site, please consider supporting us by sparing a few seconds to disable your ad blocker.
A lot of hard work happens in the background to keep BEA running, and it's especially difficult to do this when we can't pay our hosting fees :(
We work very hard to ensure our site is as fast (and FREE!) as possible, and we respect your privacy.
A lot of hard work happens in the background to keep BEA running, and it's especially difficult to do this when we can't pay our hosting fees :(
We work very hard to ensure our site is as fast (and FREE!) as possible, and we respect your privacy.